LeetCode111-二叉树的最小深度
LeetCode111-二叉树的最小深度
题设
给定一个二叉树,找出其最小深度。
最小深度是从根节点到最近叶子节点的最短路径上的节点数量。
说明:叶子节点是指没有子节点的节点。
1
2
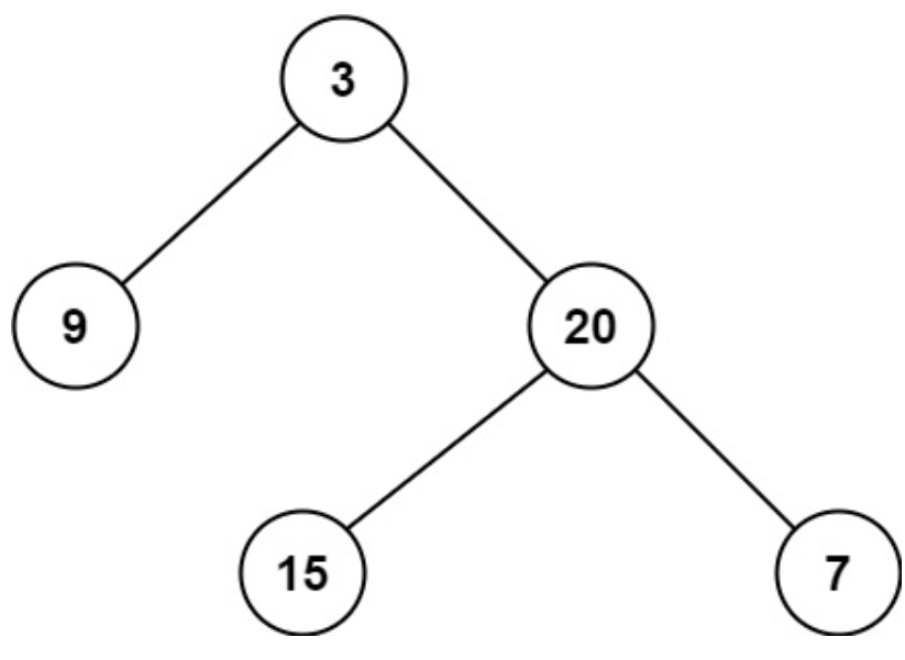
输入:root = [3,9,20,null,null,15,7]
输出:2
示例2:
1
2
输入:root = [2,null,3,null,4,null,5,null,6]
输出:5
提示:
- 树中节点数的范围在 $[0, 10^5]$ 内
-1000 <= Node.val <= 1000
题解:
该题目可使用DFS算法与BFS算法解答,详情可见该博客:遍历算法使用场景
This post is licensed under CC BY 4.0 by the author.
